Contoh Soal Elemen Mesin - Jenis jenis tegangan yang ditimbulkan pembebanan 2. ABDILAH RASYID NPM.
Elemen Mesin I Poros Ir Bambang W Sidharta
11 Pengertian Elemen Mesin.

Contoh soal elemen mesin. Itulah yang dapat kami bagikan terkait contoh soal dan jawaban dinamika. Dibawah ini adalah informasi contoh soal elemen mesin sambungan las. Setiap bab telah dilengkapi dengan contoh elemen mesin persamaan dasar contoh perhitungan.
Contoh file soal uts lengkap kelas 1 6 sd mi semua mata pelajaran 2016 2017 berikut ini. Elemen Mesin X 2. Elemen Mesin Mechanical Engineering.
Elemen Mesin 1 Bab I Pendahuluan David William Academiaedu. Contoh soal dan jawaban elemen mesin 1. Setiap bab telah dilengkapi dengan contoh.
Seputar Tips Berita Contoh Soal dan Info yang di berikan oleh Babang. Contoh soal Sebuah batang dengan panjang 100 cm dengan profil segi empat ukuran 2 cm x 2 cm diberi gaya tarik sebesar 1000 kg. Dokumen Serupa dengan contoh soal elemen mesin bab poros.
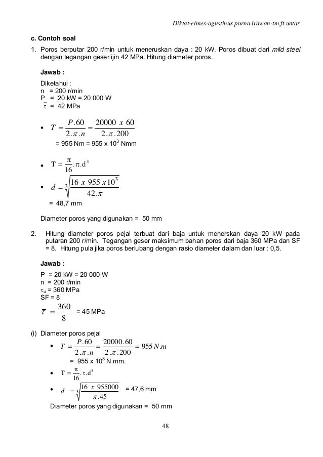
Contoh Soal Dan Jawaban Elemen Mesin 1. Contoh Soal-soal Dan Pembahasan Integral Buat. Tegangan yang diijinkan adalah tegangan maksimum yang boleh bekerja pada elemen mesin agar elemen mesin tersebut tidak mengalami deformasi plastis.
Rencana pembelajaran mata kuliah elemen mesin dalam satu semester. Soal essay pasal pasal uud 1945 dan jawabannya. TUGAS PENYELESAIAN SOAL ELEMEN MESIN II SOAL 5 - 8 Di Ajukan Untuk Memenuhi Tugas Mata Kuliah Elemen Mesin Disusun oleh.
Agustinus Purna Irawan Jurusan Teknik Mesin Fakultas Teknik Universitas Tarumanagara Agustus 2009 i f KATA. Angka yag dapat dimengerti oleh mesin yaitu angka 0 off dan 1 on yang. Konstruksi disambungkan dengan baut baja A307 M12 sebanyak 4 buah.
Laporan Perencanaan Elemen mesin transmisi roda gigi Diunggah. Contoh Soal Dan Jawaban Elemen Mesin Bab Bantalan Ilmusosial Id. Diktat-elmes-agustinus purna irawan-tmftuntar 56 BAB 7 P A S A K Pasak atau keys merupakan elemen mesin yang digunakan untuk menetapkan atau mengunci bagian-bagian.
Elemen Mesin Mechanical Engineering. Diktat Elemen Mesin Disusun oleh. Elemen Mesin Perhitungan Pembebanan Pada Poros Perhitungan Pembebanan Pada Poros.
Contoh Soal Metode Elemen Hingga Teknik Mesin Dapatkan Contoh. Contoh Soal Dan Jawaban Elemen Mesin. Elemen Mesin 1 - Keling 2 1.
Pengertian Contoh dan Ebook Machine Element Elemen mesin adalah mengacu pada komponen dasar sebuah mesin yang mempunyai bentuk serta fungsi tersendiri. Misalnya pada kasus batang thrust yang bergeser membentuk sudut alpha dari bidang normal. Karusel Sebelumnya Karusel Berikutnya.
Jika modulus elastisitas bahan 2 x 106. Mampu mengklasifikasikan jenis-jenis tegangan. Mudah-mudahan contoh soal essay dan jawaban mengenai Mesin Carnot ini bermanfaat banyak.
Elemen Mesin adalah Bagian-bagian suatu konstruksi yang mempunyai bentuk serta fungsi. Sebuah cam adalah elemen mesin yang berbentuk lobus khusus diikuti oleh follower cam yang menyebabkan profil cam akan singkron pada.
Contoh Soal Elemen Mesin Paku Keling Seputar Mesin
Modul Elemen Mesin 4
Concepts In Engineering Pengantar Dasar Teknologi Edisi Kedua Mark T Holtzapple Mesin Teknologi Teknik
Elemen Mesin I Poros Ir Bambang W Sidharta
Gambar Cover Makalah Tulis Tangan Gambar Cover Makalah Tulis Tangan Dalam Penempatan Atau Pemasangan Logo Pada Sebuah Makala Di 2021 Tulisan Tangan Buku Papan Tulisan
Pin Di Catatan Guru
Rumus Integral Dan Tabel Integral Kalkulus Contoh Soal Dan Jawaban Kalkulus Matematika
Http Amrusrg Blog Uma Ac Id Wp Content Uploads Sites 36 2018 09 Bahan Kuliah Em 1 Amru Pdf
Contoh Soal Elemen Mesin Bab Poros Docx Document
Toko Buku Rahma Medan Elektromagnetik Teori Dan Contoh Soal Teori Toko Buku Buku
Contoh Soal Elemen Mesin Paku Keling Contoh Soal Terbaru
Contoh Soal Dan Latihan Tentang Tegangan Bending Dan Torsi Ilmu Mesin Terlengkap
Soal Elemen Mesin Ii
Kumpulan Contoh Soal Elemen Mesin 1 Terbaru Dikdasmen










